Đản DỊ Uy Nỗ Đông Anh, Xã Uy Nỗ, Huyện Đông Anh, Thành phố Hà Nội
Thông tin mô tả
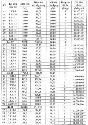
Đấu giá 36 thửa đất Đản Dị Uy Nỗ Đông Anh
Tên khu đấu giá : Khu đấu giá QSD đất phía Tây đường Đản Dị xã Uy Nỗ Đông Anh Hà Nội
Diện tích từ 100m2 đến 141m2
Mật độ xây dựng : 80%
Tầng cao tối đa : 5 tầng
Giá khởi điểm từ : 42tr/m2
Đặt trước : 20% giá trị lô đất
Vị trí khu đấu giá phía tây đường Đản DỊ Uy Nỗ Đông Anh
Liên hê em Linh 0904070707 nhận sơ đồ rõ nét và tư vấn thêm về giá khu vực Đản Dị
Lịch đấu giá tất cả các lô đất tại Đông Anh
Thông báo đấu giá đất Đản Dị Uy Nỗ Đông Anh
Thông tin nổi bật
Giá (VND)
4,2 tỷ - 42 triệu/m²
Giấy tờ pháp lý
Sổ hồng
Hướng
Đông Nam
Diện tích
100 m² - DTSD: 100 m²
Loại bất động sản
Đất đấu giá - Đất Dịch Vụ
Mặt tiền
5m
Đường vào
12m
Tin tiêu điểm
Bất động sản liên quan
Các tin đăng bất động sản cùng khu vực
Các lô đất đã xem
Tổng hợp các lô đất bạn vừa xem
.png)
